这里下载站 最近更新 下载排行
所在位置:首页 > 资讯教程 > 游戏攻略 — 《雷霆远征》防御武器阵列建筑介绍

《雷霆远征》防御武器阵列建筑介绍

作者: 日期:2025-11-05 08:40:15

《雷霆远征》游戏中防御武器阵列建筑有什么作用?防御武器阵列是游戏中的重要防守建筑,玩家在遇到攻击时可以自动进行防御,很多玩家表示不知道防御武器阵列有什么优势,那么接下来小编为大家带来《雷霆远征》防御武器阵列建筑介绍,一起来看看吧。

《雷霆远征》防御武器阵列建筑介绍

一、建筑介绍

【基础功能】

防御武器阵列位于基地的后方两侧,设有一套自动防御武器装置。当敌人对基地发出袭击时,它们可以起到自动防御的作用,对敌方进行杀伤,可以在最快的时间内有效的帮助基地抵抗攻击,并为队伍作战提供一定的准备时间。

【防御机制】

防御武器阵列的防御效果可以通过防御机库来体现,防御机库会实时的反应基地的防御情况,可以在其中进行防御状态查看,并进行下一步的判断是否保持现状,或是修理。

二、防御武器阵列建筑的升级

【升级条件】

防御武器阵列的升级程度决定着对基地的保护程度,此建筑级别越高,对于敌方的攻击力就越大。

防御武器阵列升级的前置条件是母舰等级的限制,母舰升到一定等级之后才可以升级防御武器阵列。此外,它的升级需要耗费燃料和防御武器阵列零件,后者可以通过完成任务获得,也可以用水晶购买。随着等级的提升,对资源的需求也会越大,当然产生的效果也会越好。

并且,升级可以用水晶直接完成,也可以等待时间自动完成。

【升级效果】

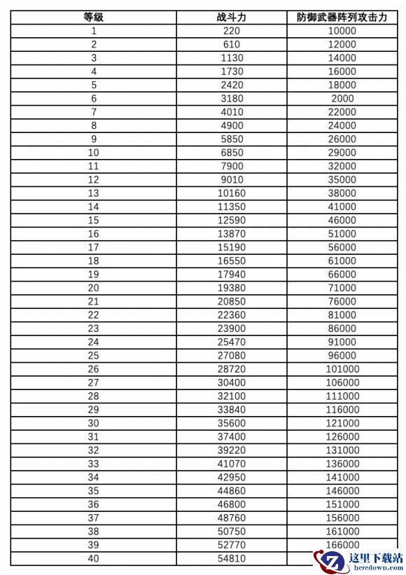
防御武器阵列升级最明显的效果就是可以提高它对于外部敌人的攻击力,从最开始级别1的1000攻击力,可以到达最终的171000的爆炸攻击水平。可以看出防御武器阵列的升级效果对于基地的保护有明显的作用。

三、升级优先度

虽然不是主要的攻击建筑,也不带有后方支援性,但是防御武器阵列是基地安全最基本的保障,也是对敌方的先手攻击。因此,这里推荐前期优先升级。

在基地的发展不高,战力较弱的前期阶段,为了避免建筑被破坏,资源被抢夺,拖延发展节奏,因此,对于基地的防御保护就显得尤为重要。这里建议在前期可以将部分资源分给防御武器阵列,使其升级,提高对基地的基础防御。

以上就是小编整理的关于《雷霆远征》防御武器阵列建筑介绍的全部内容,更多游戏攻略请持续关注手游网!

本文内容来源于互联网,如有侵权请联系删除。

最新文章